新曙光
师资
招聘
新曙光电话
新曙光直播间
新曙光线下公益课
新曙光课程规划
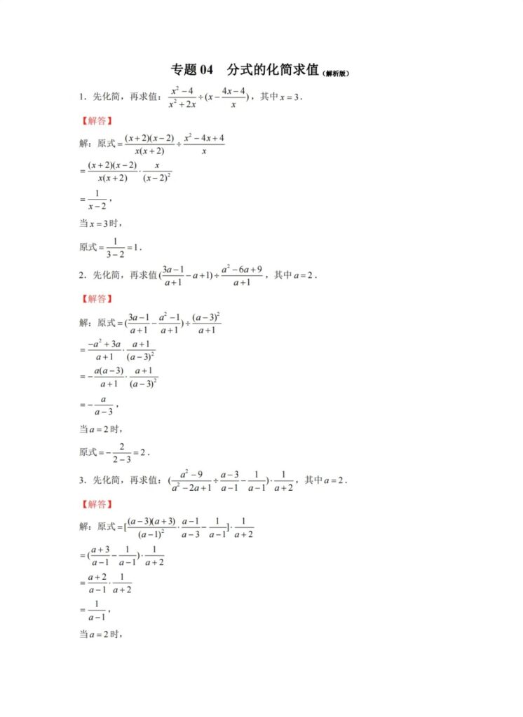
新曙光分式化简
作者:
xsg
在
未分类
微信:LZ188029
←
新曙光一次函数
朽木不可雕也
→
更多文章
新曙光教育地址
2025年9月12日
衡水中学的清北人数已经崩了
2025年11月26日
编程的门槛已经归零了
2025年11月26日
来新曙光试试吧
2025年11月21日
期中成绩调查
2025年11月19日